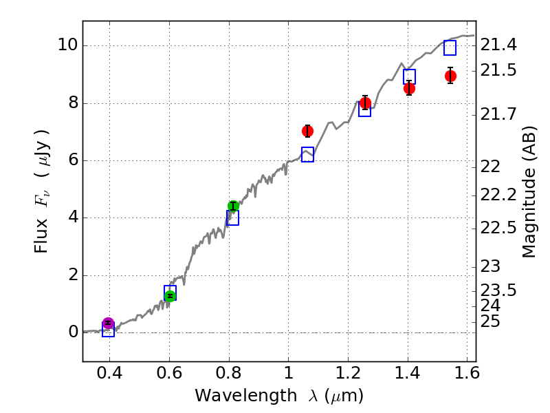
RXS0603+42-N ACS+IR detection object #5643

Color images and BPZ results
Catalog: 5643.cat
Black segments are analyzed here.   Roll mouse over color images to view segments.
Best viewed in a wide browser window (1200 pixels or more).   Download SED & P(z) plots to view larger versions.
In P(z) plots: Yellow lines mark the cluster redshift z = 0.228,  

Object #5643   x,y = (3640, 2543)   RA, Dec = (06:03:07.992, 42:15:50.40) = (90.78330, 42.26400)   BPZ = 0.515 [0.476--0.550]   type = 4.00 (Ell4_A_0)   stellarity = 0.98   chisq2 = 1.03   ODDS = 0.99   z_cluster = 0.228