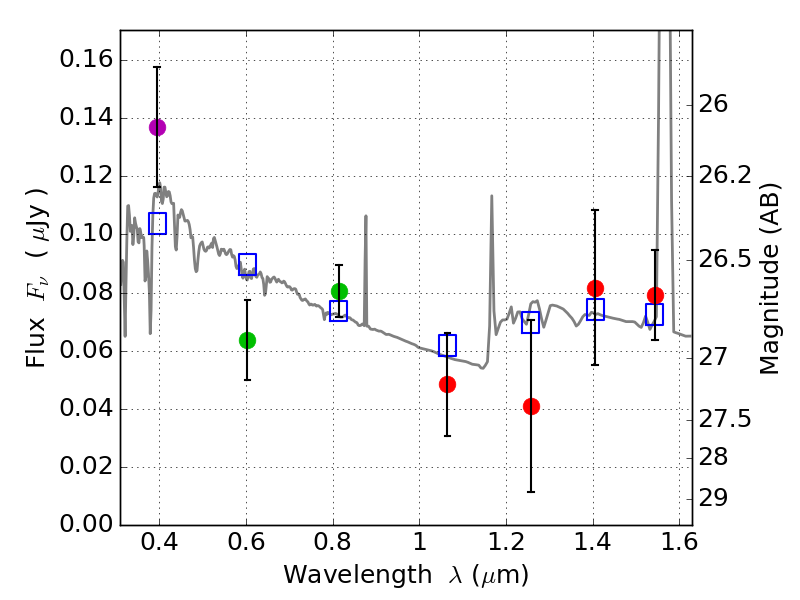
RXS0603+42-N ACS+IR detection object #5491

Color images and BPZ results
Catalog: 5491.cat
Black segments are analyzed here.   Roll mouse over color images to view segments.
Best viewed in a wide browser window (1200 pixels or more).   Download SED & P(z) plots to view larger versions.
In P(z) plots: Yellow lines mark the cluster redshift z = 0.228,  

Object #5491   x,y = (3130, 2092)   RA, Dec = (06:03:10.752, 42:15:23.04) = (90.79480, 42.25640)   BPZ = 2.135 [0.653--2.486]   type = 10.80 (SB11_A_0_l - SB3_B10)   stellarity = 0.07   chisq2 = 1.77   ODDS = 0.28   z_cluster = 0.228