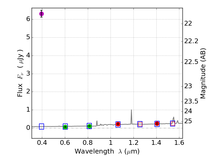
RXS0603+42-N ACS+IR detection object #5052

Color images and BPZ results
Catalog: 5052.cat
Black segments are analyzed here.   Roll mouse over color images to view segments.
Best viewed in a wide browser window (1200 pixels or more).   Download SED & P(z) plots to view larger versions.
In P(z) plots: Yellow lines mark the cluster redshift z = 0.228,  

Object #5052   x,y = (1573, 2226)   RA, Dec = (06:03:19.152, 42:15:31.32) = (90.82980, 42.25870)   BPZ = 1.360 [1.000--1.787]   type = 9.10 (SB2_B10 - SB3_B10)   stellarity = 0.95   chisq2 = 543.20   ODDS = 0.42   z_cluster = 0.228