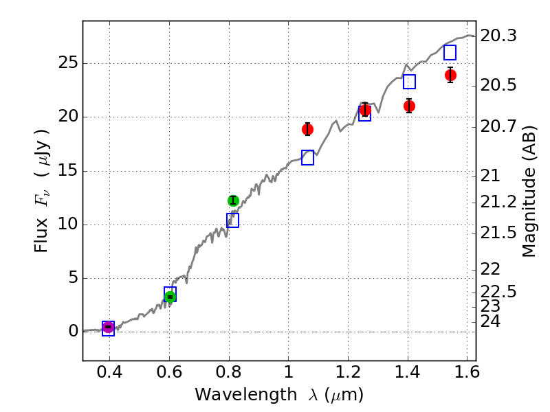
RXS0603+42-N ACS+IR detection object #4904

Color images and BPZ results
Catalog: 4904.cat
Black segments are analyzed here.   Roll mouse over color images to view segments.
Best viewed in a wide browser window (1200 pixels or more).   Download SED & P(z) plots to view larger versions.
In P(z) plots: Yellow lines mark the cluster redshift z = 0.228,  

Object #4904   x,y = (3272, 2502)   RA, Dec = (06:03:09.984, 42:15:47.88) = (90.79160, 42.26330)   BPZ = 0.530 [0.499--0.560]   type = 4.00 (Ell4_A_0)   stellarity = 0.98   chisq2 = 1.52   ODDS = 1.00   z_cluster = 0.228