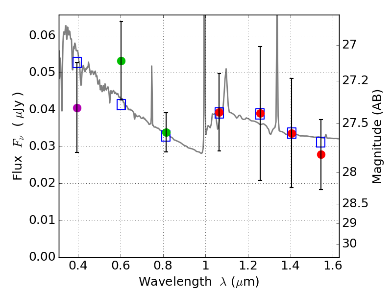
RXS0603+42-N ACS+IR detection object #4847

Color images and BPZ results
Catalog: 4847.cat
Black segments are analyzed here.   Roll mouse over color images to view segments.
Best viewed in a wide browser window (1200 pixels or more).   Download SED & P(z) plots to view larger versions.
In P(z) plots: Yellow lines mark the cluster redshift z = 0.228,  

Object #4847   x,y = (2212, 2366)   RA, Dec = (06:03:15.696, 42:15:39.60) = (90.81540, 42.26100)   BPZ = 1.675 [0.268--2.969]   type = 10.90 (SB11_A_0_l - SB3_B10)   stellarity = 0.10   chisq2 = 0.55   ODDS = 0.16   z_cluster = 0.228