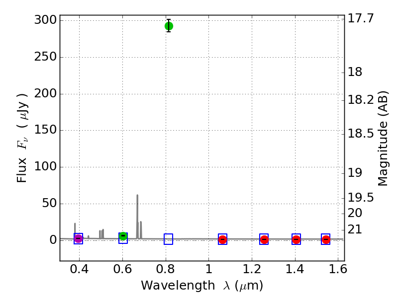
RXS0603+42-N ACS+IR detection object #3815

Color images and BPZ results
Catalog: 3815.cat
Black segments are analyzed here.   Roll mouse over color images to view segments.
Best viewed in a wide browser window (1200 pixels or more).   Download SED & P(z) plots to view larger versions.
In P(z) plots: Yellow lines mark the cluster redshift z = 0.228,  

Object #3815   x,y = (2818, 3036)   RA, Dec = (06:03:12.432, 42:16:19.92) = (90.80180, 42.27220)   BPZ = 0.016 [0.010--0.035]   type = 11.00 (SB11_A_0_l)   stellarity = 1.00   chisq2 = 320.50   ODDS = 1.00   z_cluster = 0.228