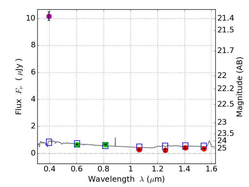
RXS0603+42-N ACS+IR detection object #3769

Color images and BPZ results
Catalog: 3769.cat
Black segments are analyzed here.   Roll mouse over color images to view segments.
Best viewed in a wide browser window (1200 pixels or more).   Download SED & P(z) plots to view larger versions.
In P(z) plots: Yellow lines mark the cluster redshift z = 0.228,  

Object #3769   x,y = (1812, 2693)   RA, Dec = (06:03:17.856, 42:15:59.40) = (90.82440, 42.26650)   BPZ = 2.173 [1.862--2.246]   type = 11.00 (SB11_A_0_l)   stellarity = 0.97   chisq2 = 233.20   ODDS = 0.58   z_cluster = 0.228