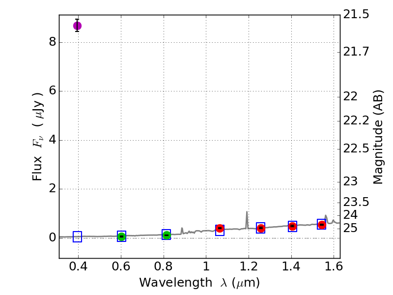
RXS0603+42-N ACS+IR detection object #3493

Color images and BPZ results
Catalog: 3493.cat
Black segments are analyzed here.   Roll mouse over color images to view segments.
Best viewed in a wide browser window (1200 pixels or more).   Download SED & P(z) plots to view larger versions.
In P(z) plots: Yellow lines mark the cluster redshift z = 0.228,  

Object #3493   x,y = (1814, 2784)   RA, Dec = (06:03:17.856, 42:16:04.80) = (90.82440, 42.26800)   BPZ = 1.376 [1.211--1.587]   type = 6.90 (Scd_B10 - Sbc_B10)   stellarity = 0.95   chisq2 = 279.70   ODDS = 0.74   z_cluster = 0.228