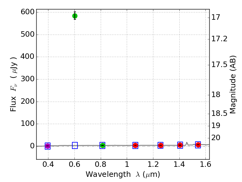
RXS0603+42-N ACS+IR detection object #2798

Color images and BPZ results
Catalog: 2798.cat
Black segments are analyzed here.   Roll mouse over color images to view segments.
Best viewed in a wide browser window (1200 pixels or more).   Download SED & P(z) plots to view larger versions.
In P(z) plots: Yellow lines mark the cluster redshift z = 0.228,  

Object #2798   x,y = (2894, 3097)   RA, Dec = (06:03:12.024, 42:16:23.52) = (90.80010, 42.27320)   BPZ = 2.915 [2.838--2.977]   type = 9.30 (SB2_B10 - SB3_B10)   stellarity = 1.00   chisq2 = 284.50   ODDS = 1.00   z_cluster = 0.228