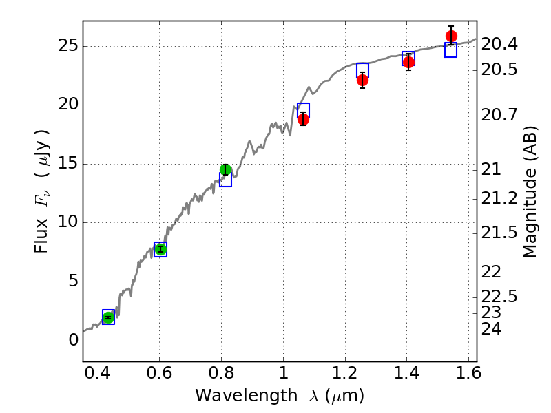
RXC2211-03 IR detection object #288

Color images and BPZ results
Catalog: 288.cat
Black segments are analyzed here.   Roll mouse over color images to view segments.
Best viewed in a wide browser window (1200 pixels or more).   Download SED & P(z) plots to view larger versions.
In P(z) plots: Yellow lines mark the cluster redshift z = 0.397,  

Object #288   x,y = (1470, 3054)   RA, Dec = (22:11:49.824, -3:49:12.72) = (332.95760, -3.82020)   BPZ = 0.179 [0.139--0.204]   type = 3.90 (Ell4_A_0 - Ell5_A_0)   stellarity = 0.03   chisq2 = 0.28   ODDS = 0.99   z_cluster = 0.397