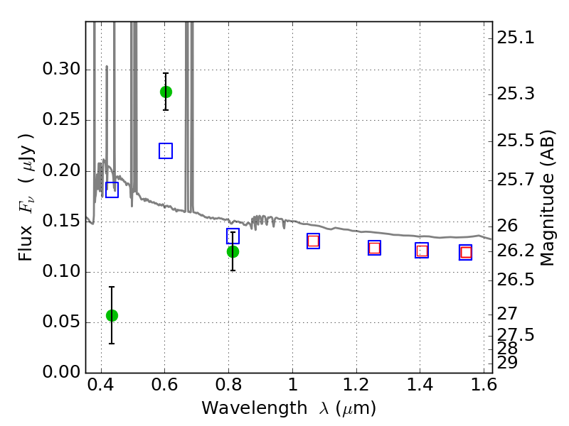
RXC2211-03 ACS+IR detection object #674

Color images and BPZ results
Catalog: 674.cat
Black segments are analyzed here.   Roll mouse over color images to view segments.
Best viewed in a wide browser window (1200 pixels or more).   Download SED & P(z) plots to view larger versions.
In P(z) plots: Yellow lines mark the cluster redshift z = 0.397,  

Object #674   x,y = (4225, 3835)   RA, Dec = (22:11:38.784, -3:48:25.56) = (332.91160, -3.80710)   BPZ = 0.023 [0.010--3.229]   type = 11.00 (SB11_A_0_l)   chisq2 = 22.29   ODDS = 0.84   z_cluster = 0.397