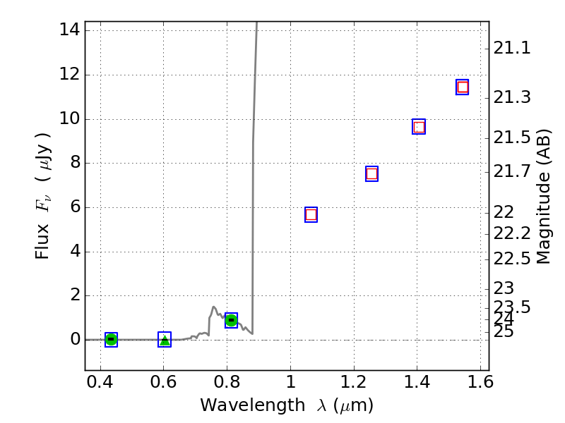
RXC2211-03 ACS+IR detection object #5466

Color images and BPZ results
Catalog: 5466.cat
Black segments are analyzed here.   Roll mouse over color images to view segments.
Best viewed in a wide browser window (1200 pixels or more).   Download SED & P(z) plots to view larger versions.
In P(z) plots: Yellow lines mark the cluster redshift z = 0.397,  

Object #5466   x,y = (4352, 819)   RA, Dec = (22:11:38.280, -3:51:26.64) = (332.90950, -3.85740)   BPZ = 6.253 [5.854--8.808]   type = 6.00 (Sbc_B10)   chisq2 = 0.00   ODDS = 0.40   z_cluster = 0.397