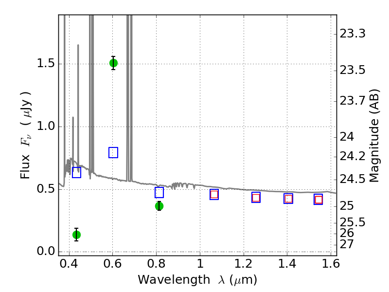
RXC2211-03 ACS+IR detection object #5106

Color images and BPZ results
Catalog: 5106.cat
Black segments are analyzed here.   Roll mouse over color images to view segments.
Best viewed in a wide browser window (1200 pixels or more).   Download SED & P(z) plots to view larger versions.
In P(z) plots: Yellow lines mark the cluster redshift z = 0.397,  

Object #5106   x,y = (4345, 1037)   RA, Dec = (22:11:38.304, -3:51:13.68) = (332.90960, -3.85380)   BPZ = 0.016 [0.010--0.032]   type = 11.00 (SB11_A_0_l)   chisq2 = 145.60   ODDS = 1.00   z_cluster = 0.397