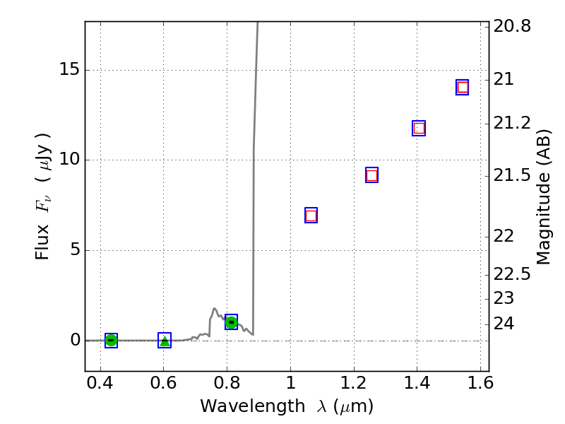
RXC2211-03 ACS+IR detection object #4689

Color images and BPZ results
Catalog: 4689.cat
Black segments are analyzed here.   Roll mouse over color images to view segments.
Best viewed in a wide browser window (1200 pixels or more).   Download SED & P(z) plots to view larger versions.
In P(z) plots: Yellow lines mark the cluster redshift z = 0.397,  

Object #4689   x,y = (856, 1317)   RA, Dec = (22:11:52.296, -3:50:56.76) = (332.96790, -3.84910)   BPZ = 6.275 [5.890--8.796]   type = 6.00 (Sbc_B10)   chisq2 = 0.00   ODDS = 0.41   z_cluster = 0.397