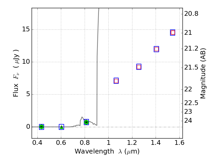
RXC2211-03 ACS+IR detection object #4509

Color images and BPZ results
Catalog: 4509.cat
Black segments are analyzed here.   Roll mouse over color images to view segments.
Best viewed in a wide browser window (1200 pixels or more).   Download SED & P(z) plots to view larger versions.
In P(z) plots: Yellow lines mark the cluster redshift z = 0.397,  

Object #4509   x,y = (831, 1433)   RA, Dec = (22:11:52.392, -3:50:49.92) = (332.96830, -3.84720)   BPZ = 6.427 [6.016--8.963]   type = 6.00 (Sbc_B10)   chisq2 = 0.00   ODDS = 0.41   z_cluster = 0.397