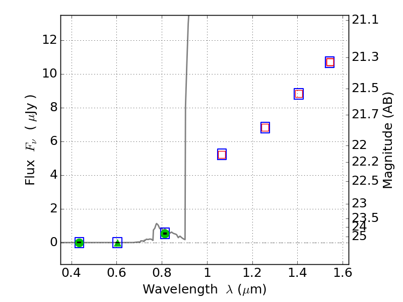
RXC2211-03 ACS+IR detection object #4495

Color images and BPZ results
Catalog: 4495.cat
Black segments are analyzed here.   Roll mouse over color images to view segments.
Best viewed in a wide browser window (1200 pixels or more).   Download SED & P(z) plots to view larger versions.
In P(z) plots: Yellow lines mark the cluster redshift z = 0.397,  

Object #4495   x,y = (837, 1564)   RA, Dec = (22:11:52.368, -3:50:42.00) = (332.96820, -3.84500)   BPZ = 6.426 [6.008--9.026]   type = 6.00 (Sbc_B10)   chisq2 = 0.00   ODDS = 0.39   z_cluster = 0.397