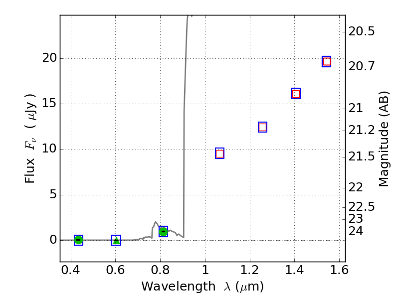
RXC2211-03 ACS+IR detection object #4394

Color images and BPZ results
Catalog: 4394.cat
Black segments are analyzed here.   Roll mouse over color images to view segments.
Best viewed in a wide browser window (1200 pixels or more).   Download SED & P(z) plots to view larger versions.
In P(z) plots: Yellow lines mark the cluster redshift z = 0.397,  

Object #4394   x,y = (793, 1821)   RA, Dec = (22:11:52.536, -3:50:26.52) = (332.96890, -3.84070)   BPZ = 6.447 [6.044--8.919]   type = 6.00 (Sbc_B10)   chisq2 = 0.00   ODDS = 0.42   z_cluster = 0.397