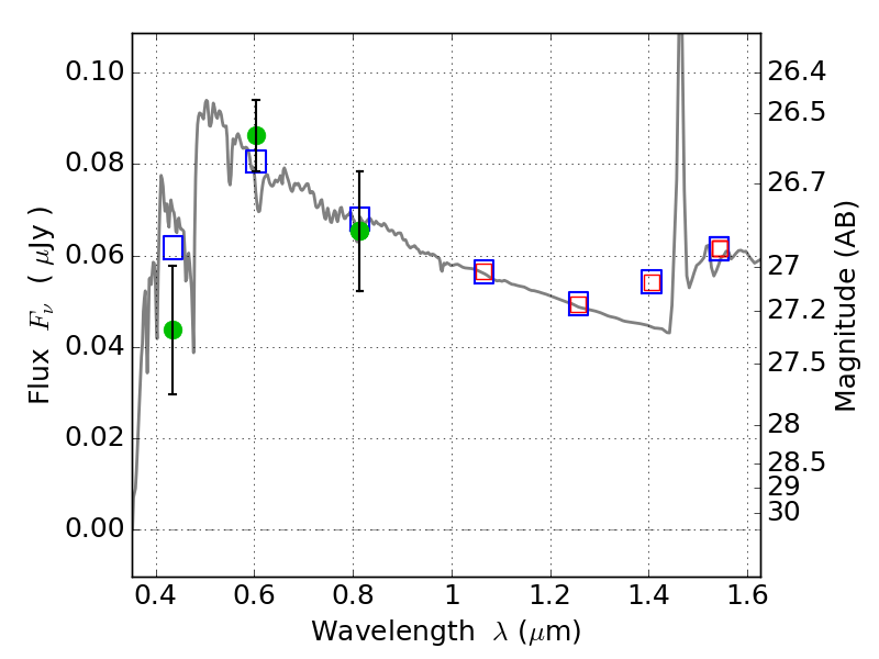
RXC2211-03 ACS+IR detection object #4252

Color images and BPZ results
Catalog: 4252.cat
Black segments are analyzed here.   Roll mouse over color images to view segments.
Best viewed in a wide browser window (1200 pixels or more).   Download SED & P(z) plots to view larger versions.
In P(z) plots: Yellow lines mark the cluster redshift z = 0.397,  

Object #4252   x,y = (865, 1605)   RA, Dec = (22:11:52.248, -3:50:39.48) = (332.96770, -3.84430)   BPZ = 2.929 [0.248--3.485]   type = 10.80 (SB11_A_0_l - SB3_B10)   chisq2 = 1.84   ODDS = 0.29   z_cluster = 0.397