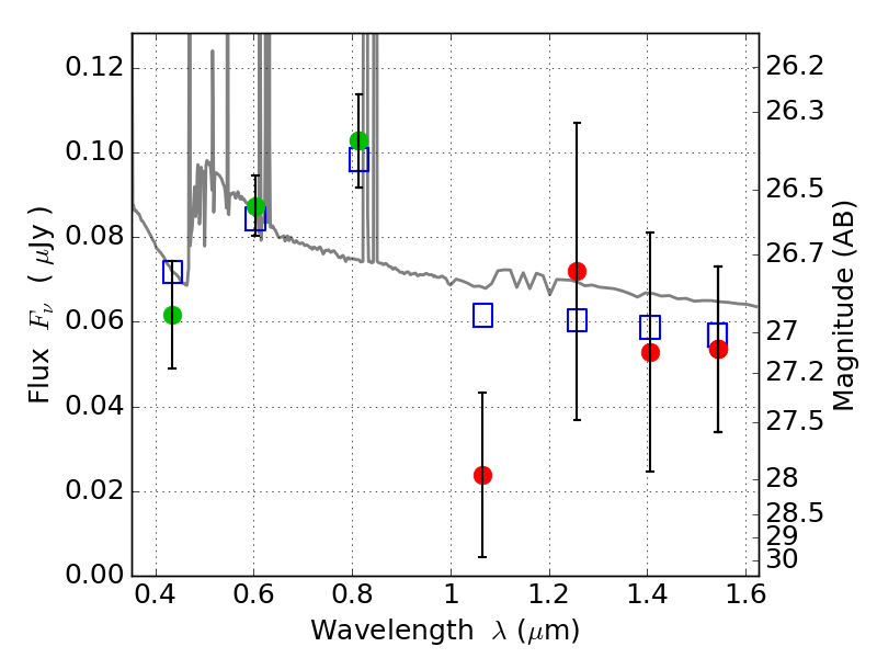
RXC2211-03 ACS+IR detection object #413

Color images and BPZ results
Catalog: 413.cat
Black segments are analyzed here.   Roll mouse over color images to view segments.
Best viewed in a wide browser window (1200 pixels or more).   Download SED & P(z) plots to view larger versions.
In P(z) plots: Yellow lines mark the cluster redshift z = 0.397,  

Object #413   x,y = (2332, 4031)   RA, Dec = (22:11:46.368, -3:48:14.04) = (332.94320, -3.80390)   BPZ = 0.259 [0.103--0.703]   type = 11.00 (SB11_A_0_l)   chisq2 = 0.63   ODDS = 0.50   z_cluster = 0.397