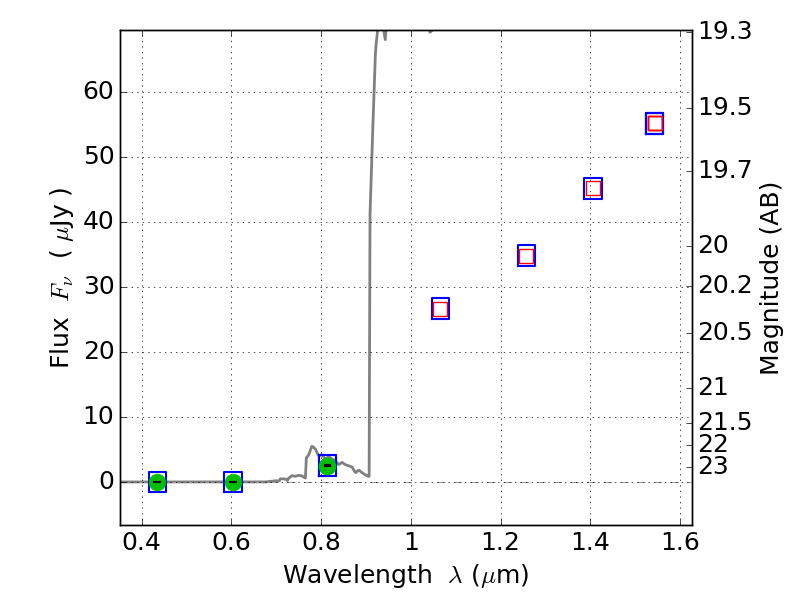
RXC2211-03 ACS+IR detection object #3806

Color images and BPZ results
Catalog: 3806.cat
Black segments are analyzed here.   Roll mouse over color images to view segments.
Best viewed in a wide browser window (1200 pixels or more).   Download SED & P(z) plots to view larger versions.
In P(z) plots: Yellow lines mark the cluster redshift z = 0.397,  

Object #3806   x,y = (4305, 1894)   RA, Dec = (22:11:38.472, -3:50:22.20) = (332.91030, -3.83950)   BPZ = 6.465 [6.154--8.568]   type = 6.00 (Sbc_B10)   chisq2 = 0.00   ODDS = 0.50   z_cluster = 0.397