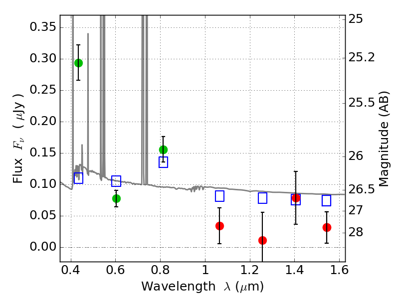
RXC2211-03 ACS+IR detection object #3782

Color images and BPZ results
Catalog: 3782.cat
Black segments are analyzed here.   Roll mouse over color images to view segments.
Best viewed in a wide browser window (1200 pixels or more).   Download SED & P(z) plots to view larger versions.
In P(z) plots: Yellow lines mark the cluster redshift z = 0.397,  

Object #3782   x,y = (2557, 1910)   RA, Dec = (22:11:45.480, -3:50:21.12) = (332.93950, -3.83920)   BPZ = 0.102 [0.080--0.757]   type = 11.00 (SB11_A_0_l)   chisq2 = 8.08   ODDS = 0.82   z_cluster = 0.397