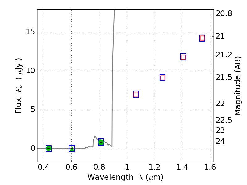
RXC2211-03 ACS+IR detection object #370

Color images and BPZ results
Catalog: 370.cat
Black segments are analyzed here.   Roll mouse over color images to view segments.
Best viewed in a wide browser window (1200 pixels or more).   Download SED & P(z) plots to view larger versions.
In P(z) plots: Yellow lines mark the cluster redshift z = 0.397,  

Object #370   x,y = (4178, 4052)   RA, Dec = (22:11:38.976, -3:48:12.60) = (332.91240, -3.80350)   BPZ = 6.363 [5.974--8.982]   type = 6.00 (Sbc_B10)   chisq2 = 0.00   ODDS = 0.40   z_cluster = 0.397