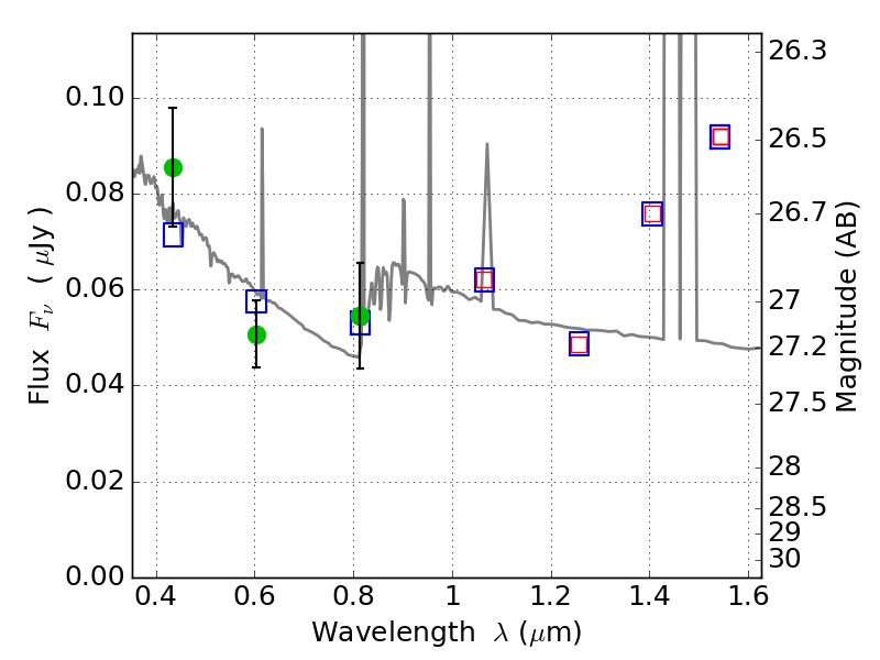
RXC2211-03 ACS+IR detection object #3612

Color images and BPZ results
Catalog: 3612.cat
Black segments are analyzed here.   Roll mouse over color images to view segments.
Best viewed in a wide browser window (1200 pixels or more).   Download SED & P(z) plots to view larger versions.
In P(z) plots: Yellow lines mark the cluster redshift z = 0.397,  

Object #3612   x,y = (1190, 2077)   RA, Dec = (22:11:50.952, -3:50:11.04) = (332.96230, -3.83640)   BPZ = 1.205 [0.735--2.516]   type = 11.00 (SB11_A_0_l)   chisq2 = 1.60   ODDS = 0.14   z_cluster = 0.397