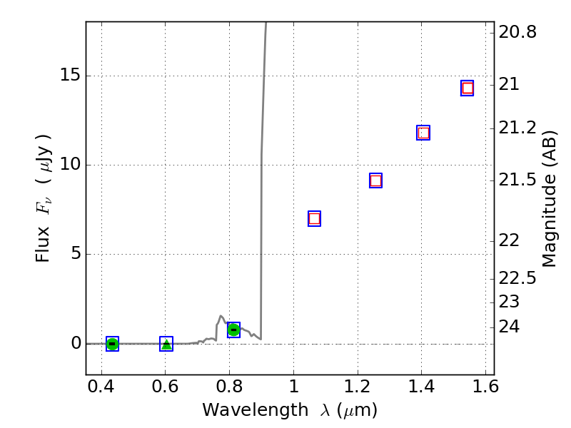
RXC2211-03 ACS+IR detection object #3464

Color images and BPZ results
Catalog: 3464.cat
Black segments are analyzed here.   Roll mouse over color images to view segments.
Best viewed in a wide browser window (1200 pixels or more).   Download SED & P(z) plots to view larger versions.
In P(z) plots: Yellow lines mark the cluster redshift z = 0.397,  

Object #3464   x,y = (4291, 2110)   RA, Dec = (22:11:38.520, -3:50:09.24) = (332.91050, -3.83590)   BPZ = 6.404 [5.998--8.914]   type = 6.00 (Sbc_B10)   chisq2 = 0.00   ODDS = 0.41   z_cluster = 0.397