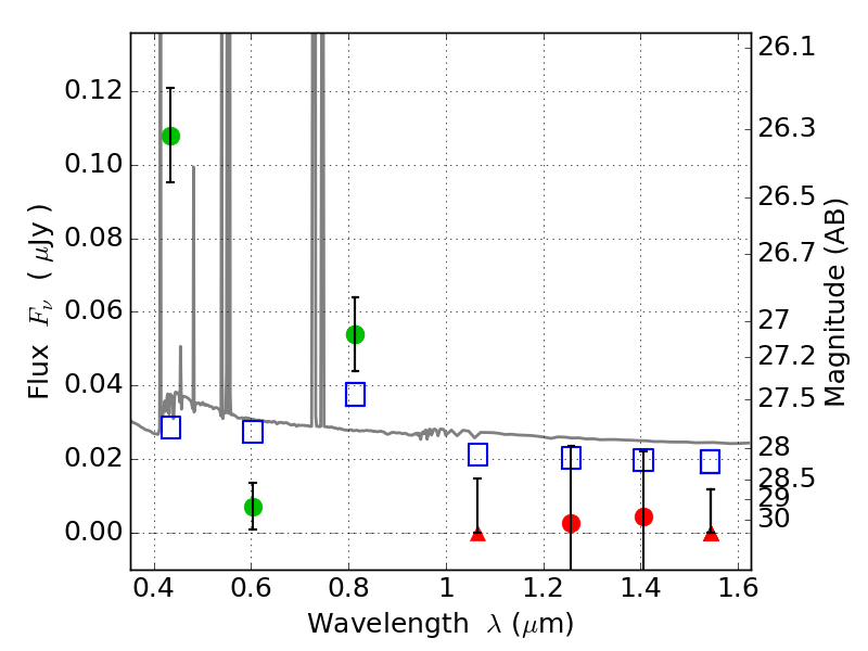
RXC2211-03 ACS+IR detection object #3406

Color images and BPZ results
Catalog: 3406.cat
Black segments are analyzed here.   Roll mouse over color images to view segments.
Best viewed in a wide browser window (1200 pixels or more).   Download SED & P(z) plots to view larger versions.
In P(z) plots: Yellow lines mark the cluster redshift z = 0.397,  

Object #3406   x,y = (2598, 2139)   RA, Dec = (22:11:45.312, -3:50:07.44) = (332.93880, -3.83540)   BPZ = 0.108 [0.082--1.002]   type = 11.00 (SB11_A_0_l)   chisq2 = 8.84   ODDS = 0.64   z_cluster = 0.397