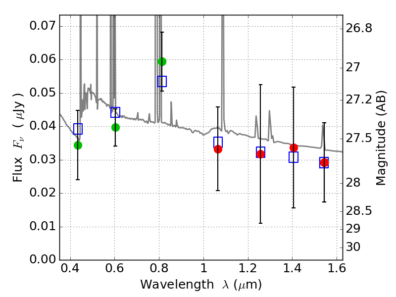
RXC2211-03 ACS+IR detection object #3364

Color images and BPZ results
Catalog: 3364.cat
Black segments are analyzed here.   Roll mouse over color images to view segments.
Best viewed in a wide browser window (1200 pixels or more).   Download SED & P(z) plots to view larger versions.
In P(z) plots: Yellow lines mark the cluster redshift z = 0.397,  

Object #3364   x,y = (3193, 2201)   RA, Dec = (22:11:42.936, -3:50:03.84) = (332.92890, -3.83440)   BPZ = 0.200 [0.094--3.181]   type = 10.80 (SB11_A_0_l - SB3_B10)   chisq2 = 0.21   ODDS = 0.38   z_cluster = 0.397