RXC2211-03 ACS+IR detection object #3344

Color images and BPZ results
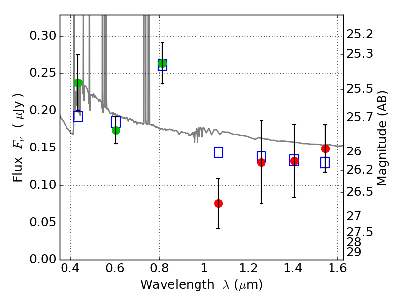
Catalog: 3344.cat
Black segments are analyzed here.   Roll mouse over color images to view segments.
Best viewed in a wide browser window (1200 pixels or more).   Download SED & P(z) plots to view larger versions.
In P(z) plots: Yellow lines mark the cluster redshift z = 0.397,  

Object #3344   x,y = (2476, 2179)   RA, Dec = (22:11:45.792, -3:50:04.92) = (332.94080, -3.83470)   BPZ = 0.116 [0.085--0.293]   type = 11.00 (SB11_A_0_l)   chisq2 = 0.80   ODDS = 0.59   z_cluster = 0.397