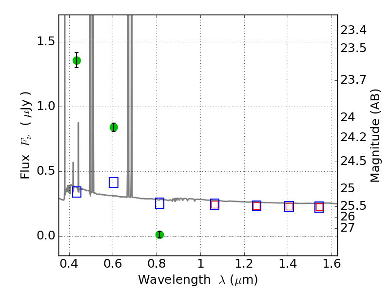
RXC2211-03 ACS+IR detection object #315

Color images and BPZ results
Catalog: 315.cat
Black segments are analyzed here.   Roll mouse over color images to view segments.
Best viewed in a wide browser window (1200 pixels or more).   Download SED & P(z) plots to view larger versions.
In P(z) plots: Yellow lines mark the cluster redshift z = 0.397,  

Object #315   x,y = (4183, 4124)   RA, Dec = (22:11:38.952, -3:48:08.28) = (332.91230, -3.80230)   BPZ = 0.019 [0.010--0.032]   type = 11.00 (SB11_A_0_l)   chisq2 = 446.40   ODDS = 1.00   z_cluster = 0.397