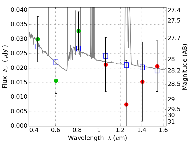
RXC2211-03 ACS+IR detection object #3112

Color images and BPZ results
Catalog: 3112.cat
Black segments are analyzed here.   Roll mouse over color images to view segments.
Best viewed in a wide browser window (1200 pixels or more).   Download SED & P(z) plots to view larger versions.
In P(z) plots: Yellow lines mark the cluster redshift z = 0.397,  

Object #3112   x,y = (1978, 2335)   RA, Dec = (22:11:47.808, -3:49:55.56) = (332.94920, -3.83210)   BPZ = 0.906 [0.107--2.893]   type = 10.90 (SB11_A_0_l - SB3_B10)   chisq2 = 0.65   ODDS = 0.18   z_cluster = 0.397