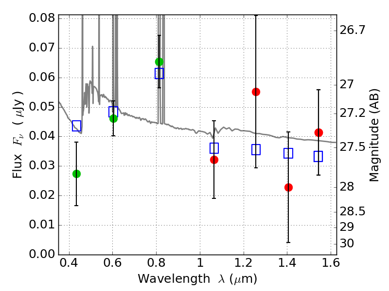
RXC2211-03 ACS+IR detection object #3111

Color images and BPZ results
Catalog: 3111.cat
Black segments are analyzed here.   Roll mouse over color images to view segments.
Best viewed in a wide browser window (1200 pixels or more).   Download SED & P(z) plots to view larger versions.
In P(z) plots: Yellow lines mark the cluster redshift z = 0.397,  

Object #3111   x,y = (3118, 2330)   RA, Dec = (22:11:43.224, -3:49:55.92) = (332.93010, -3.83220)   BPZ = 0.238 [0.107--3.912]   type = 11.00 (SB11_A_0_l)   chisq2 = 0.62   ODDS = 0.29   z_cluster = 0.397