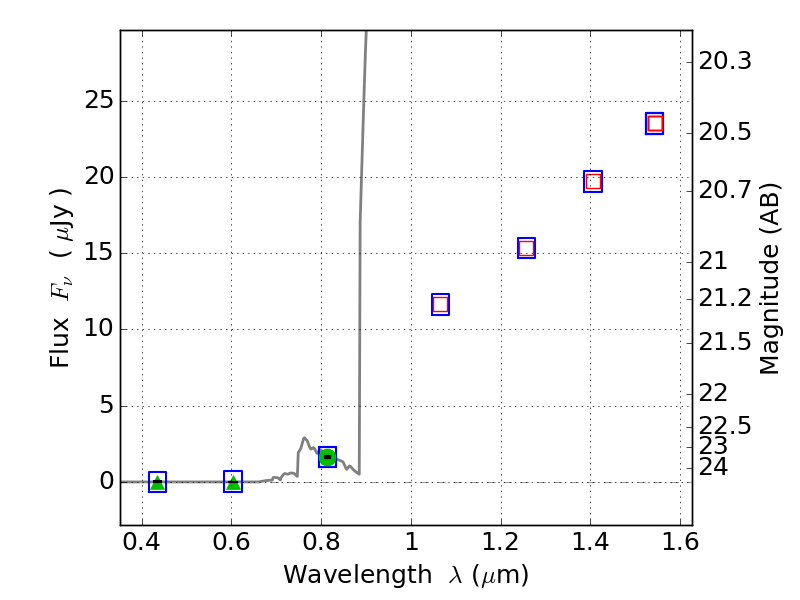
RXC2211-03 ACS+IR detection object #299

Color images and BPZ results
Catalog: 299.cat
Black segments are analyzed here.   Roll mouse over color images to view segments.
Best viewed in a wide browser window (1200 pixels or more).   Download SED & P(z) plots to view larger versions.
In P(z) plots: Yellow lines mark the cluster redshift z = 0.397,  

Object #299   x,y = (4205, 4135)   RA, Dec = (22:11:38.880, -3:48:07.56) = (332.91200, -3.80210)   BPZ = 6.295 [5.949--8.633]   type = 6.00 (Sbc_B10)   chisq2 = 0.00   ODDS = 0.43   z_cluster = 0.397