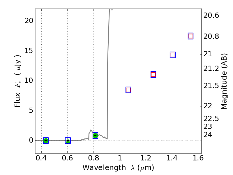
RXC2211-03 ACS+IR detection object #2942

Color images and BPZ results
Catalog: 2942.cat
Black segments are analyzed here.   Roll mouse over color images to view segments.
Best viewed in a wide browser window (1200 pixels or more).   Download SED & P(z) plots to view larger versions.
In P(z) plots: Yellow lines mark the cluster redshift z = 0.397,  

Object #2942   x,y = (4281, 2463)   RA, Dec = (22:11:38.568, -3:49:48.00) = (332.91070, -3.83000)   BPZ = 6.450 [6.062--8.929]   type = 6.00 (Sbc_B10)   chisq2 = 0.00   ODDS = 0.42   z_cluster = 0.397