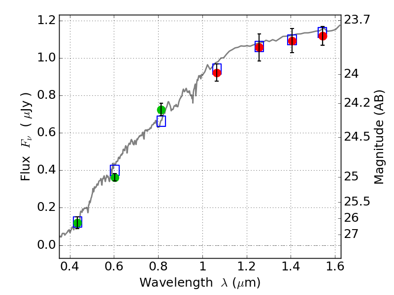
RXC2211-03 ACS+IR detection object #2784

Color images and BPZ results
Catalog: 2784.cat
Black segments are analyzed here.   Roll mouse over color images to view segments.
Best viewed in a wide browser window (1200 pixels or more).   Download SED & P(z) plots to view larger versions.
In P(z) plots: Yellow lines mark the cluster redshift z = 0.397,  

Object #2784   x,y = (2104, 2529)   RA, Dec = (22:11:47.280, -3:49:44.04) = (332.94700, -3.82890)   BPZ = 0.118 [0.048--0.793]   type = 4.00 (Ell4_A_0)   chisq2 = 0.22   ODDS = 0.42   z_cluster = 0.397