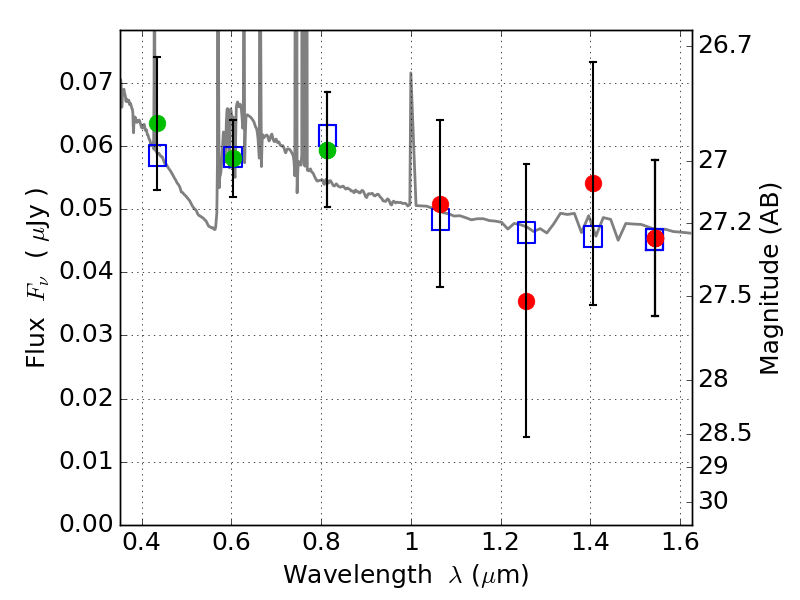
RXC2211-03 ACS+IR detection object #2691

Color images and BPZ results
Catalog: 2691.cat
Black segments are analyzed here.   Roll mouse over color images to view segments.
Best viewed in a wide browser window (1200 pixels or more).   Download SED & P(z) plots to view larger versions.
In P(z) plots: Yellow lines mark the cluster redshift z = 0.397,  

Object #2691   x,y = (1619, 2610)   RA, Dec = (22:11:49.224, -3:49:39.00) = (332.95510, -3.82750)   BPZ = 0.531 [0.259--3.049]   type = 11.00 (SB11_A_0_l)   chisq2 = 0.11   ODDS = 0.09   z_cluster = 0.397