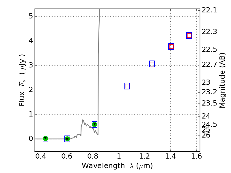
RXC2211-03 ACS+IR detection object #2558

Color images and BPZ results
Catalog: 2558.cat
Black segments are analyzed here.   Roll mouse over color images to view segments.
Best viewed in a wide browser window (1200 pixels or more).   Download SED & P(z) plots to view larger versions.
In P(z) plots: Yellow lines mark the cluster redshift z = 0.397,  

Object #2558   x,y = (756, 2698)   RA, Dec = (22:11:52.704, -3:49:33.96) = (332.96960, -3.82610)   BPZ = 5.925 [3.288--8.816]   type = 6.00 (Sbc_B10)   chisq2 = 0.01   ODDS = 0.35   z_cluster = 0.397