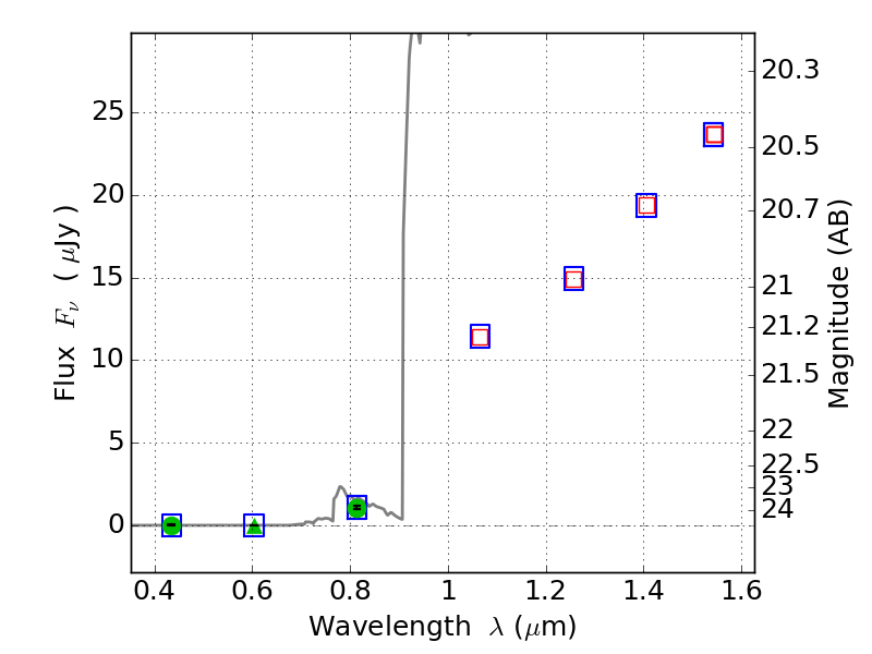
RXC2211-03 ACS+IR detection object #2395

Color images and BPZ results
Catalog: 2395.cat
Black segments are analyzed here.   Roll mouse over color images to view segments.
Best viewed in a wide browser window (1200 pixels or more).   Download SED & P(z) plots to view larger versions.
In P(z) plots: Yellow lines mark the cluster redshift z = 0.397,  

Object #2395   x,y = (4241, 2837)   RA, Dec = (22:11:38.712, -3:49:25.68) = (332.91130, -3.82380)   BPZ = 6.464 [6.122--8.881]   type = 6.00 (Sbc_B10)   chisq2 = 0.00   ODDS = 0.43   z_cluster = 0.397