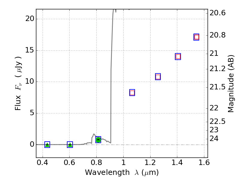
RXC2211-03 ACS+IR detection object #2127

Color images and BPZ results
Catalog: 2127.cat
Black segments are analyzed here.   Roll mouse over color images to view segments.
Best viewed in a wide browser window (1200 pixels or more).   Download SED & P(z) plots to view larger versions.
In P(z) plots: Yellow lines mark the cluster redshift z = 0.397,  

Object #2127   x,y = (4192, 2991)   RA, Dec = (22:11:38.928, -3:49:16.32) = (332.91220, -3.82120)   BPZ = 6.467 [6.128--8.949]   type = 6.00 (Sbc_B10)   chisq2 = 0.00   ODDS = 0.41   z_cluster = 0.397