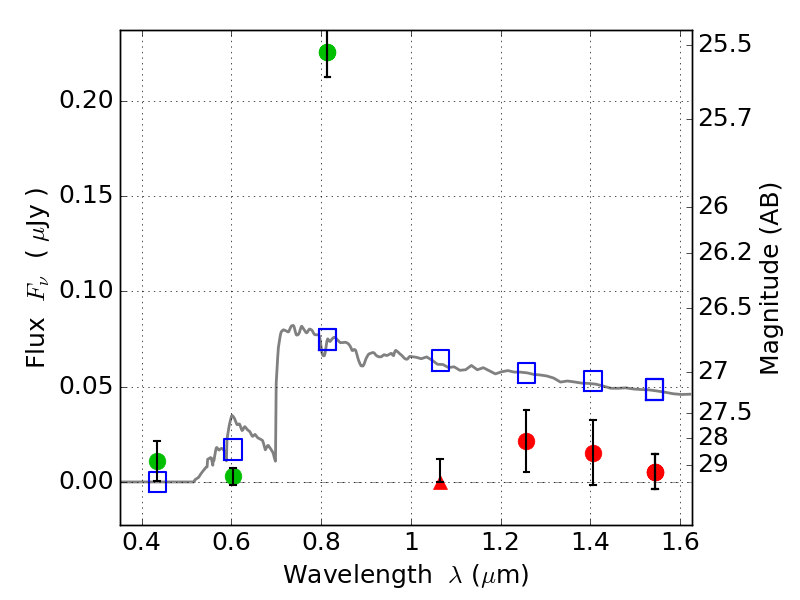
RXC2211-03 ACS+IR detection object #2032

Color images and BPZ results
Catalog: 2032.cat
Black segments are analyzed here.   Roll mouse over color images to view segments.
Best viewed in a wide browser window (1200 pixels or more).   Download SED & P(z) plots to view larger versions.
In P(z) plots: Yellow lines mark the cluster redshift z = 0.397,  

Object #2032   x,y = (2466, 3199)   RA, Dec = (22:11:45.840, -3:49:03.72) = (332.94100, -3.81770)   BPZ = 4.753 [4.651--4.834]   type = 11.00 (SB11_A_0_l)   chisq2 = 45.57   ODDS = 1.00   z_cluster = 0.397