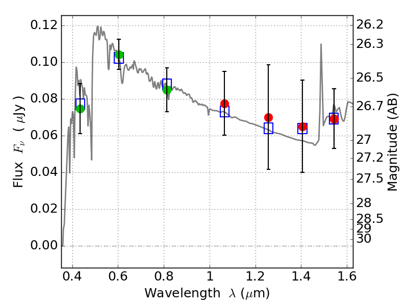
RXC2211-03 ACS+IR detection object #1941

Color images and BPZ results
Catalog: 1941.cat
Black segments are analyzed here.   Roll mouse over color images to view segments.
Best viewed in a wide browser window (1200 pixels or more).   Download SED & P(z) plots to view larger versions.
In P(z) plots: Yellow lines mark the cluster redshift z = 0.397,  

Object #1941   x,y = (1832, 3091)   RA, Dec = (22:11:48.384, -3:49:10.20) = (332.95160, -3.81950)   BPZ = 2.990 [0.310--3.301]   type = 10.80 (SB11_A_0_l - SB3_B10)   chisq2 = 0.03   ODDS = 0.52   z_cluster = 0.397