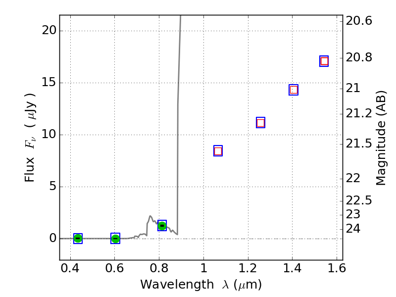
RXC2211-03 ACS+IR detection object #1852

Color images and BPZ results
Catalog: 1852.cat
Black segments are analyzed here.   Roll mouse over color images to view segments.
Best viewed in a wide browser window (1200 pixels or more).   Download SED & P(z) plots to view larger versions.
In P(z) plots: Yellow lines mark the cluster redshift z = 0.397,  

Object #1852   x,y = (728, 3145)   RA, Dec = (22:11:52.800, -3:49:06.96) = (332.97000, -3.81860)   BPZ = 6.275 [5.903--8.736]   type = 6.00 (Sbc_B10)   chisq2 = 0.00   ODDS = 0.42   z_cluster = 0.397