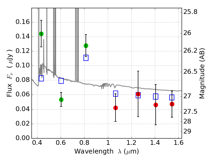
RXC2211-03 ACS+IR detection object #1705

Color images and BPZ results
Catalog: 1705.cat
Black segments are analyzed here.   Roll mouse over color images to view segments.
Best viewed in a wide browser window (1200 pixels or more).   Download SED & P(z) plots to view larger versions.
In P(z) plots: Yellow lines mark the cluster redshift z = 0.397,  

Object #1705   x,y = (2534, 3238)   RA, Dec = (22:11:45.576, -3:49:01.56) = (332.93990, -3.81710)   BPZ = 0.109 [0.085--0.277]   type = 11.00 (SB11_A_0_l)   chisq2 = 2.56   ODDS = 0.79   z_cluster = 0.397