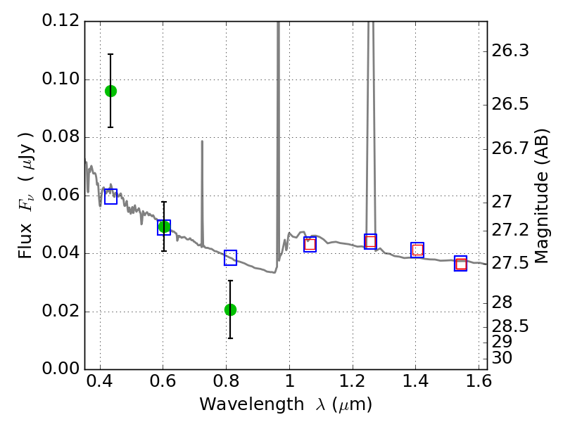
RXC2211-03 ACS+IR detection object #1152

Color images and BPZ results
Catalog: 1152.cat
Black segments are analyzed here.   Roll mouse over color images to view segments.
Best viewed in a wide browser window (1200 pixels or more).   Download SED & P(z) plots to view larger versions.
In P(z) plots: Yellow lines mark the cluster redshift z = 0.397,  

Object #1152   x,y = (1039, 3692)   RA, Dec = (22:11:51.552, -3:48:34.20) = (332.96480, -3.80950)   BPZ = 1.594 [1.275--2.413]   type = 11.00 (SB11_A_0_l)   chisq2 = 13.35   ODDS = 0.25   z_cluster = 0.397