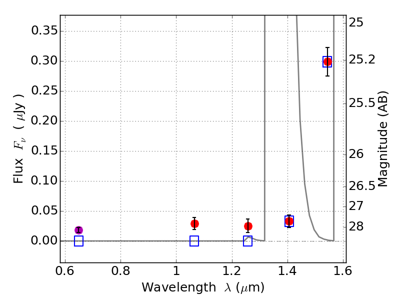
RXC2211-03-PAR IR detection object #870

Color images and BPZ results
Catalog: 870.cat
Black segments are analyzed here.   Roll mouse over color images to view segments.
Best viewed in a wide browser window (1200 pixels or more).   Download SED & P(z) plots to view larger versions.
In P(z) plots: Yellow lines mark the cluster redshift z = 0.397,  

Object #870   x,y = (3164, 2115)   RA, Dec = (22:11:59.616, -3:54:34.20) = (332.99840, -3.90950)   BPZ = 11.922 [11.764--12.240]   type = 11.00 (SB11_A_0_l)   stellarity = 0.74   chisq2 = 1.88   ODDS = 0.99   z_cluster = 0.397