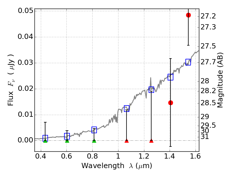
RXC0949+17 IR detection object #1032

Color images and BPZ results
Catalog: 1032.cat
Black segments are analyzed here.   Roll mouse over color images to view segments.
Best viewed in a wide browser window (1200 pixels or more).   Download SED & P(z) plots to view larger versions.
In P(z) plots: Yellow lines mark the cluster redshift z = 0.383,  

Object #1032   x,y = (3892, 1300)   RA, Dec = (09:49:46.968, 17:06:09.36) = (147.44570, 17.10260)   BPZ = 1.498 [0.830--12.360]   type = 6.00 (Sbc_B10)   chisq2 = 1.41   ODDS = 0.06   z_cluster = 0.383