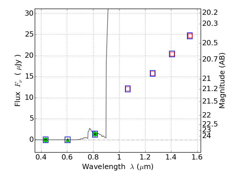
RXC0949+17 ACS+IR detection object #3613

Color images and BPZ results
Catalog: 3613.cat
Black segments are analyzed here.   Roll mouse over color images to view segments.
Best viewed in a wide browser window (1200 pixels or more).   Download SED & P(z) plots to view larger versions.
In P(z) plots: Yellow lines mark the cluster redshift z = 0.383,  

Object #3613   x,y = (5113, 2008)   RA, Dec = (09:49:41.856, 17:06:51.84) = (147.42440, 17.11440)   BPZ = 6.404 [6.005--8.789]   type = 6.00 (Sbc_B10)   chisq2 = 0.00   ODDS = 0.44   z_cluster = 0.383