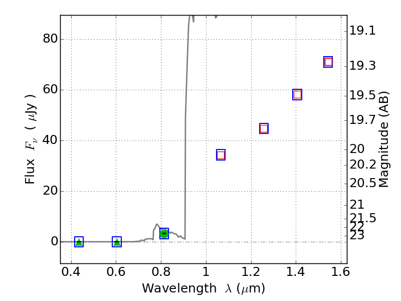
RXC0949+17 ACS+IR detection object #3286
Color images and BPZ results
Catalog: 3286.cat
Black segments are analyzed here. Roll mouse over color images to view segments.
Best viewed in a wide browser window (1200 pixels or more). Download SED & P(z) plots to view larger versions.
In P(z) plots: Yellow lines mark the cluster redshift z = 0.383,
Object #3286 x,y = (1010, 2153) RA, Dec = (09:49:59.016, 17:07:00.48) = (147.49590, 17.11680) BPZ = 6.472 [6.201--8.430] type = 6.00 (Sbc_B10) chisq2 = 0.00 ODDS = 0.51 z_cluster = 0.383