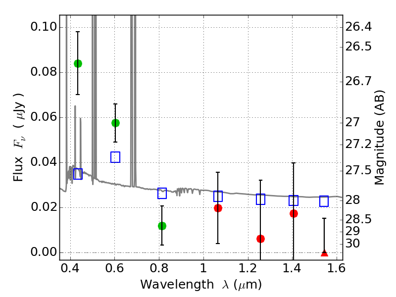
RXC0949+17 ACS+IR detection object #2548

Color images and BPZ results
Catalog: 2548.cat
Black segments are analyzed here.   Roll mouse over color images to view segments.
Best viewed in a wide browser window (1200 pixels or more).   Download SED & P(z) plots to view larger versions.
In P(z) plots: Yellow lines mark the cluster redshift z = 0.383,  

Object #2548   x,y = (2431, 2514)   RA, Dec = (09:49:53.064, 17:07:22.08) = (147.47110, 17.12280)   BPZ = 0.032 [0.024--2.735]   type = 11.00 (SB11_A_0_l)   chisq2 = 3.82   ODDS = 0.10   z_cluster = 0.383