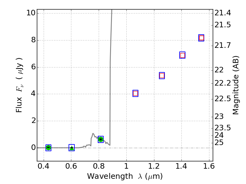
RXC0949+17 ACS+IR detection object #1838

Color images and BPZ results
Catalog: 1838.cat
Black segments are analyzed here.   Roll mouse over color images to view segments.
Best viewed in a wide browser window (1200 pixels or more).   Download SED & P(z) plots to view larger versions.
In P(z) plots: Yellow lines mark the cluster redshift z = 0.383,  

Object #1838   x,y = (4615, 2936)   RA, Dec = (09:49:43.920, 17:07:47.64) = (147.43300, 17.12990)   BPZ = 6.253 [5.852--8.994]   type = 6.00 (Sbc_B10)   chisq2 = 0.00   ODDS = 0.38   z_cluster = 0.383