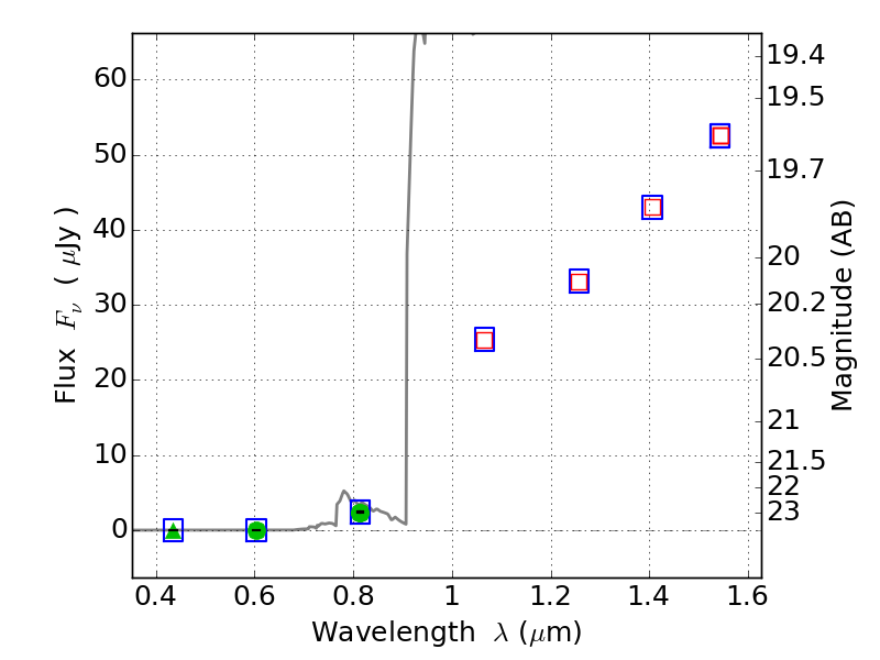
RXC0949+17 ACS+IR detection object #1642
Color images and BPZ results
Catalog: 1642.cat
Black segments are analyzed here. Roll mouse over color images to view segments.
Best viewed in a wide browser window (1200 pixels or more). Download SED & P(z) plots to view larger versions.
In P(z) plots: Yellow lines mark the cluster redshift z = 0.383,
Object #1642 x,y = (4553, 3039) RA, Dec = (09:49:44.184, 17:07:53.76) = (147.43410, 17.13160) BPZ = 6.466 [6.170--8.583] type = 6.00 (Sbc_B10) chisq2 = 0.00 ODDS = 0.49 z_cluster = 0.383