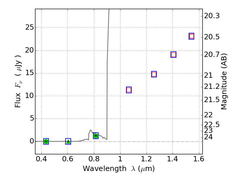
RXC0949+17 ACS+IR detection object #1318
Color images and BPZ results
Catalog: 1318.cat
Black segments are analyzed here. Roll mouse over color images to view segments.
Best viewed in a wide browser window (1200 pixels or more). Download SED & P(z) plots to view larger versions.
In P(z) plots: Yellow lines mark the cluster redshift z = 0.383,
Object #1318 x,y = (4402, 3274) RA, Dec = (09:49:44.832, 17:08:07.80) = (147.43680, 17.13550) BPZ = 6.405 [6.006--8.777] type = 6.00 (Sbc_B10) chisq2 = 0.00 ODDS = 0.43 z_cluster = 0.383